设为首页
收藏本站
开启辅助访问
切换到宽版
登录
新用户注册
只需一步,快速开始
微信扫码登录
使用验证码登录
快捷导航
发布信息
搜索
搜索
太和在线
Portal
太和论坛
BBS
导读
Guide
关于我们
新闻动态
本版
帖子
群组
用户
太和论坛_太和在线
»
太和论坛
›
椿樱视界
›
关注太和
›
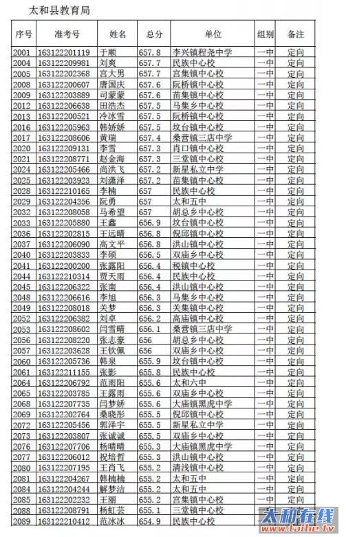
中考成绩已经公布,这2956名定向生去往何方? ...
返回列表
发新帖
中考成绩已经公布,这2956名定向生去往何方?
[复制链接]
45414
|
1
|
2016-7-19 15:35:46
|
显示全部楼层
|
阅读模式
小编在这里,衷心的祝贺所有的高一新生,
在新的学校生活环境中,
奋发图强,努力学习
做国家的栋梁之才
学校
,
中考成绩
,
定向生
相关帖子
•
谁知道这是哪个学校的女生宿舍!!
•
某学校老师集体辞职的爆笑原因,校长看完哭了!
•
曝古天乐默默行善捐建49间学校 回应:不值得讲(回贴是亮点)
•
关爱阮桥特殊教育学校
•
太和体育场、体育学校、 体育馆正在拔地而起!
•
合作办学谋共赢 太和县建立学校发展共同体
•
开学了,太和老师最烦这样的家长!
回复
使用道具
举报
提升卡
置顶卡
沉默卡
喧嚣卡
变色卡
抢沙发
千斤顶
显身卡
招聘信息发布员
|
2016-7-19 17:57:54
|
显示全部楼层
学业有成啦
回复
支持
反对
使用道具
举报
显身卡
返回列表
发新帖
*
滑块验证:
高级模式
B
Color
Image
Link
Quote
Code
Smilies
您需要登录后才可以回帖
登录
|
新用户注册
本版积分规则
发表回复
回帖后跳转到最后一页
资深网络编辑师
回复楼主
返回列表
关注太和
椿城影像
曝光台
图文推荐
大雪、暴雪即将来袭!太和接下来...
2025-12-11
暖心!早上七点!一群人“涌进”太和二院的护士站!
2025-05-12
“史上最严车检来了”?多方求证→
2024-12-09
太和县城管局上线《政风行风热线》
2024-12-07
接访公示!
2024-12-07
热门排行
1
700年太和老街 舍不得说再见
2
《寒冬无情,人间有爱》:请帮助两个可怜的孩子度过寒冬
3
2017市直机关迎新春文艺晚会
4
人生高杆
5
亲哥陷害我
6
二中
7
啦啦啦啦
8
福利来了“倒湾冒菜”太和店9月3日隆重开业,进店立减10元还送酒水饮料!